TL;DR
The centrifugal compressor design process can be significantly accelerated and enhanced using 3D Inverse Design paired with a Reactive Response Surface (RRS) Machine Learning optimizer. By using just 8 input parameters to define the blade shape, the system efficiently explored a multi-point, multi-objective design space in only 30 hours. The optimized design resulted in a 2–4 percentage point gain in efficiency and extended map width (increased choke margin) over the baseline model, while also improving mechanical properties (reduced stresses). This validation proves the RRS with CAE Machine Learning approach is an accurate and cost-effective method for complex turbomachinery optimization.
A huge amount of engineering and computational resources goes into the design of turbomachinery especially to meet multi-point, multi-objective, multi-disciplinary problems. This is especially true for centrifugal compressors, which, in almost all circumstances are range operating machines, where the ability to perform consistently at low to high speeds and low to high pressure ratios is as important as peak efficiency at the nominal ‘design point’.
The ongoing quest for centrifugal compressor map-width has, until now, been something of an empirical affair, especially when it comes to the design of the rotor itself, i.e. ignoring treatments that can be applied to the casing, diffuser and inlet. Rotor map-width and peak efficiency tend (but not always) to be a trade-off, meaning that you can have one but not the other.
Ideally then, we would want to optimize compressor rotor designs to give the very best efficiency and map-width possible for a given shaft and tip-speed (so - multi-point optimization). The traditional obstacle to this aim has been the sheer amount of high-fidelity simulation that has to be done in order to sufficiently explore a very complex and high dimensional design space, at multiple operating points. What if we could leverage a small dataset of high-fidelity data to accurately drive an optimization algorithm using Machine Learning methods?
At ADT we have considered very carefully how one might leverage the power of Machine Learning to the specific and highly complex problem of turbomachinery blade design.
● 3D Inverse Design - the enabling technology for Machine Learning
● An example of how Machine Learning can optimize a legacy compressor design
● TURBOdesign1 performs optimization via Machine Learning
● Design choices and centrifugal compressor performance gains
● Validation of the optimized design gives confidence in the Machine Learning solution
● Conclusions - Machine Learning for turbomachinery is now a reality
3D Inverse Design - the enabling technology for Machine Learning
In a previous blog, we showed how ADT have constructed and assembled the necessary building blocks to enable a turbomachinery Machine Learning system that can rapidly and efficiently home in on optimized designs.
In that case the application was an axial fan, but as you’d expect, the system can be configured to work on any turbomachinery design challenge.
Very briefly, the advantages of 3D Inverse Design over conventional design are:
- Minimization of input parameters. Just a handful of parameters are required to describe extremely complex and varied 3D blade shapes.
- Parameter leverage. Small changes to parameter values can drive large blade shape changes.
- Designs are guaranteed to meet duty points. As the required performance is the input and the blade shape is the output, 3D Inverse Design does not waste effort creating non-compliant designs that do not meet the basic performance requirements.
- Designs can be assessed for performance without reverting to high-fidelity, and high-cost CFD simulation.
Coupled with ADT’s Reactive Response Surface optimizer technology, vast and complex turbomachinery design spaces can be explored and exploited in a matter of hours on standard deskside hardware. We call our Machine Learning system ‘Reactive Response Surface + CAE’ , as it combines the speed of the Reactive Response Surface with the accuracy of high-fidelity CAE simulation.
An example of how Machine Learning can optimize a legacy compressor design
We are going to use a 20-blade, 400 mm diameter compressor rotor as our baseline. This is based on the well-known Eckardt impeller. In this case it runs at 14000 rpm for a stage pressure ratio of between 1.9:1 and 1.75:1.
Firstly, we establish the baseline performance of this design by running CFD across the speedline. The pre-processing, solving and post-processing in this step is all automatically controlled from within TURBOdesign1, and we can choose the solver that we wish to use (i.e. it could be Ansys-CFX, Simcenter STAR-CCM+, Cadence Fine Turbo etc).
We are essentially running a pre-defined template for centrifugal compressor analysis across the operating points, and TURBOdesign1 is managing the generation of the data.

Figure 1: Baseline characteristics for efficiency and Pressure Ratio
Once we have our centrifugal compressors baseline established. We can turn the problem over to a Machine Learning algorithm which will attempt to redesign the rotor in order to meet the design objectives that we set.
TURBOdesign1 performs optimization via Machine Learning
Inputs
The power of 3D Inverse Design means that we can use just 8 input parameters to create a large and rich centrifugal compressor design space wherein we hope to find a significantly better performing optimal design.
4 of the parameters relate the distribution of blade loading across the blade, 3 control the meridional shape, and 1 parameter controls the blade stacking at the trailing edge. With this small but powerful parameter set we have enough control and variation in the blade shape to produce a wide variety of candidate designs.
TURBOdesign1 also uses a Machine Learning algorithm to recommend appropriate ranges for input variables, so that the design space is not too wide, resulting in ‘impossible’ designs, nor too narrow which might preclude a genuine, usable optimum being found.

Figure 2: 8 Input parameters describe the entire blade design space
Constraints
All good optimization algorithms work with constraints in order to efficiently explore the design space. The Reactive Response Surface + CAE algorithm recognizes constraint violations and the Machine Learning algorithm knows to move the search away from these areas. In this case we constrain the throat area to maintain the same swallowing capacity in the rotor as the baseline and to control the position of the peak efficiency on the speedline.
Objectives
What do we want from this centrifugal compressor? Because we are integrating multi-point CFD runs into this study we can choose CFD results from off-design points as objectives. In TURBOdesign1 we tell the Machine Learning system to maximize efficiency at the surge and choke sides of the speedline, and maximize pressure ratio at the design point. Holding or increasing mid-map pressure ratio stops the map from ‘flattening’ – i.e. increasing map-width at the expense of pressure ratio delivery ,which is a common issue in traditional ‘direct’ design.

Figure 3: Objectives for the Machine Learning algorithm
Once we have set the optimizer meta-parameters (number of iterations, number of new designs added per iteration, and some settings governing the surrogate model used within Reactive Response Surface + CAE) the Machine Learning system can be run to find the optimum solution.
Because Reactive Response Surface + CAE makes very selective use of high-fidelity CFD to explore the multi-objective, multi-point centrifugal compressor design space, this Machine Learning optimization took just 30 hours on 4 cores of a deskside Xeon workstation. The Machine Learning algorithm needed only 44 cases to explore the entire design space, and home in on the optimum multi-point design.
What is Surrogate Modelling?
A surrogate model is a machine learning technique that acts as a rapid approximation of a complex simulation. Instead of running a 4-hour CFD simulation for every design tweak, the surrogate model predicts the outcome in milliseconds based on previous training data.
Design choices and centrifugal compressor performance gains
Reactive Response Surface + CAE uses a combination of low- and high fidelity simulation, surrogate models and a genetic algorithm to discover the optimum designs.
In this case we discover a Pareto front of candidate centrifugal compressor designs in 3 dimensions (1 dimension for each of the objectives).
Observing how the Machine Learning system came to this optimal front reveals that the 3 objectives do not compete very strongly. That is, by maximising one objective we also seem to, in general, maximize the other two.
Therefore the overall design gradient is moderately correlated in all 3 dimensions. This makes our design choice quite easy - we do not have to compromise one objective against the others.
Nevertheless, a Pareto front is constructed, which, by definition, shows that for every ‘optimal’ centrifugal compressor design there is a mild pay-off in performance objectives against all other designs.

Figure 4: Surrogate Pareto front of optimal solutions - design point pressure ratio pressure vs surge side efficiency. All points on this plot are Pareto optimal, we are viewing a 3-dimensional front in 2 dimensions.

Figure 5: Baseline centrifugal compressor geometry (left) compared with optimized geometry (right)
For any surrogate model point we can run the candidate through 3D Inverse Design to generate the actual blade shape, and then send to CFD under the same meshing, pre-processing and boundary conditions as the baseline and optimization points to get a final assessment of performance. By doing so we find that our chosen optimum returns a very good improvement over the baseline in all objectives.

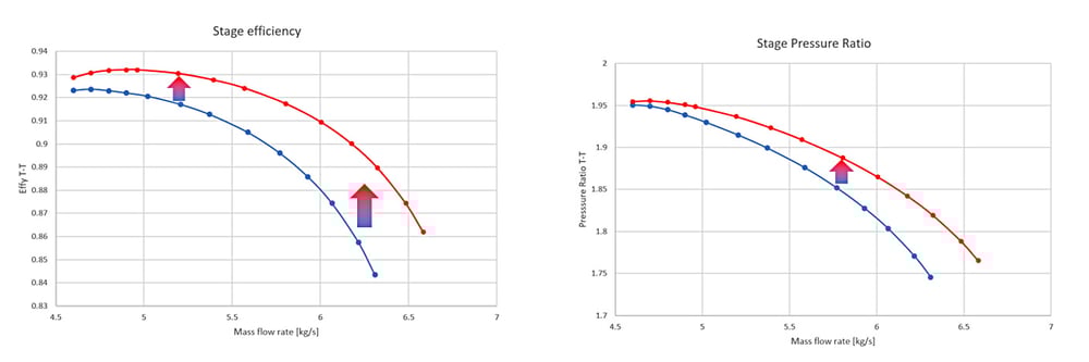
Figure 6: Performance improvement of the optimum design (red) over the baseline (blue)
The full centrifugal compressor speedline shows that, by using the Reactive Response Surface optimizer, we have extended map width by maintaining the surge margin (as far as can be ascertained by CFD numerical stability) and significantly increased margin on the choke side.
The gain in overall efficiency is so significant (2-4 pts) that it would be fairly straightforward to gain more surge margin by profile trimming this blade.
Incidentally the blade lean at the leading edge and the maximum circumferential blade lean have both been reduced in the optimal design.
This means that , for the same thickness distribution we would see a reduction in root stresses due to centrifugal forces when the wheel is rotating. So we have improved mechanical as well as aerodynamic performance.
Validation of the optimized design gives confidence in the Machine Learning
solution
It is very important to assess how accurate the design space surrogate model is. We must have confidence in the Reactive Response Surface model to correctly predict the shape of the design space, otherwise we would be adding in high-fidelity simulation to predict multi-point performance at the ‘wrong’ Pareto front. The comparison between the Reactive Response Surface surrogate model prediction and verification in CFD is shown below. We can see that the actual performance results are the same as the values predicted by the ML algorithm, showing that Reactive Response Surface + CAE is an extremely accurate method for predicting the design space topology.

Figure 7: Comparison between Reactive Response Surface prediction and a posteriori CFD results
Conclusions - Machine Learning for turbomachinery is now a reality
In this blog we have shown that, in just a few hours on a standard workstation, ADT's Reactive Response Surface+CAE Machine Learning optimizer can discover significant centrifugal compressor performance gains with component redesign using the 3D Inverse Design approach. Moreover that design can be validated with high confidence in full-fidelity CFD to confirm what the Machine Learning model predicts.
The Reactive Response Surface + CAE model is an ideal method for delivering optimal designs in a multi-point, multi-objective design space and for a fraction of the total cost traditionally associated with large scale, high-fidelity optimisation studies involving complex geometry and flow interaction.
Rich Evans
A CFD professional with over 25 years experience of using, developing and introducing users to Computational Fluid Dynamics. Wide ranging experience across various tools, methods, capabilities, limitations and possibilities in real-world applications.
View All Articles


Share This Post